Yolov5学习笔记4——源码剖析——Head部分

Detect类对应yolov5的检查头(head)部分

Detect类在yolo.py程序中的33行。

class Detect()代码分析

1
2
3
4
5
6
7
8
9
10
11
12
13
14
15
16
17
18
19
20
21
22
23
24
25
26
27
28
29
30
31
32
33
34
35
36
37
38
class Detect(nn.Module):
stride = None # strides computed during build
onnx_dynamic = False # ONNX export parameter

def __init__(self, nc=80, anchors=(), ch=(), inplace=True): # detection layer
super().__init__()
self.nc = nc # number of classes
self.no = nc + 5 # number of outputs per anchor
self.nl = len(anchors) # number of detection layers
self.na = len(anchors[0]) // 2 # number of anchors
self.grid = [torch.zeros(1)] * self.nl # init grid
self.anchor_grid = [torch.zeros(1)] * self.nl # init anchor grid
self.register_buffer('anchors', torch.tensor(anchors).float().view(self.nl, -1, 2)) # shape(nl,na,2)
self.m = nn.ModuleList(nn.Conv2d(x, self.no * self.na, 1) for x in ch) # output conv
self.inplace = inplace # use in-place ops (e.g. slice assignment)

def forward(self, x):
z = [] # inference output
for i in range(self.nl):
x[i] = self.m[i](x[i]) # conv
bs, _, ny, nx = x[i].shape # x(bs,255,20,20) to x(bs,3,20,20,85)
x[i] = x[i].view(bs, self.na, self.no, ny, nx).permute(0, 1, 3, 4, 2).contiguous()

if not self.training: # inference
if self.onnx_dynamic or self.grid[i].shape[2:4] != x[i].shape[2:4]:
self.grid[i], self.anchor_grid[i] = self._make_grid(nx, ny, i)

y = x[i].sigmoid()
if self.inplace:
y[..., 0:2] = (y[..., 0:2] * 2 - 0.5 + self.grid[i]) * self.stride[i] # xy
y[..., 2:4] = (y[..., 2:4] * 2) ** 2 * self.anchor_grid[i] # wh
else: # for YOLOv5 on AWS Inferentia https://github.com/ultralytics/yolov5/pull/2953
xy = (y[..., 0:2] * 2 - 0.5 + self.grid[i]) * self.stride[i] # xy
wh = (y[..., 2:4] * 2) ** 2 * self.anchor_grid[i] # wh
y = torch.cat((xy, wh, y[..., 4:]), -1)
z.append(y.view(bs, -1, self.no))

return x if self.training else (torch.cat(z, 1), x)

初始化函数init()

首先分析这个类的初始化函数:

1
2
3
4
5
6
7
8
9
10
11
def __init__(self, nc=80, anchors=(), ch=(), inplace=True):  # 检测头
super().__init__()
self.nc = nc # 类别数
self.no = nc + 5 # 输出的锚点数量
self.nl = len(anchors) # 检测的层数
self.na = len(anchors[0]) // 2 # 锚点的数量
self.grid = [torch.zeros(1)] * self.nl # 初始化网格
self.anchor_grid = [torch.zeros(1)] * self.nl # 初始化锚点框
self.register_buffer('anchors', torch.tensor(anchors).float().view(self.nl, -1, 2)) # shape(nl,na,2)=shape(3,3,2)
self.m = nn.ModuleList(nn.Conv2d(x, self.no * self.na, 1) for x in ch) # 输出卷积结果
self.inplace = inplace # use in-place ops (e.g. slice assignment)

yolov5的检测头仍为FPN结构,所以self.m为3个输出卷积。这三个输出卷积模块的channel变化分别为128$\longrightarrow$255|256$\longrightarrow$255|512$\longrightarrow$255。
self.no为每个anchor位置的输出channel维度,每个位置都预测80个类(coco)+ 4个位置坐标xywh + 1个confidence score。所以输出channel为85。每个尺度下有3个anchor位置,所以输出85*3=255个channel。检测层数为3,锚点数量为85

forward()函数

接下来看head部分的forward()函数:

1
2
3
4
5
6
7
8
9
10
11
12
13
14
15
16
17
18
19
20
21
22
def forward(self, x):
z = [] # inference output
for i in range(self.nl):
x[i] = self.m[i](x[i]) # conv
bs, _, ny, nx = x[i].shape # x(bs,255,20,20) to x(bs,3,20,20,85)
x[i] = x[i].view(bs, self.na, self.no, ny, nx).permute(0, 1, 3, 4, 2).contiguous()

if not self.training: # inference
if self.onnx_dynamic or self.grid[i].shape[2:4] != x[i].shape[2:4]:
self.grid[i], self.anchor_grid[i] = self._make_grid(nx, ny, i)

y = x[i].sigmoid()
if self.inplace:
y[..., 0:2] = (y[..., 0:2] * 2 - 0.5 + self.grid[i]) * self.stride[i] # xy
y[..., 2:4] = (y[..., 2:4] * 2) ** 2 * self.anchor_grid[i] # wh
else: # for YOLOv5 on AWS Inferentia https://github.com/ultralytics/yolov5/pull/2953
xy = (y[..., 0:2] * 2 - 0.5 + self.grid[i]) * self.stride[i] # xy
wh = (y[..., 2:4] * 2) ** 2 * self.anchor_grid[i] # wh
y = torch.cat((xy, wh, y[..., 4:]), -1)
z.append(y.view(bs, -1, self.no))

return x if self.training else (torch.cat(z, 1), x)

x是一个列表的形式,分别对应着3个head的输入。它们的shape分别为:

  • [bs, 128, 32, 32]
  • [1, 256, 16, 16]
  • [1, 512, 8, 8]

三个输入先后被送入了3个卷积,得到输出结果。

1
x[i] = x[i].view(bs, self.na, self.no, ny, nx).permute(0, 1, 3, 4, 2).contiguous()

这里将x进行变换从:

x[0]:(bs,255,32,32) => x(bs,3,32,32,85)
x[1]:(bs,255,32,32) => x(bs,3,16,16,85)
x[2]:(bs,255,32,32) => x(bs,3,8,8,85)

make_grid()函数

1
2
3
4
5
6
7
8
9
10
def _make_grid(self, nx=20, ny=20, i=0):
d = self.anchors[i].device
if check_version(torch.__version__, '1.10.0'): # torch>=1.10.0 meshgrid workaround for torch>=0.7 compatibility
yv, xv = torch.meshgrid([torch.arange(ny, device=d), torch.arange(nx, device=d)], indexing='ij')
else:
yv, xv = torch.meshgrid([torch.arange(ny, device=d), torch.arange(nx, device=d)])
grid = torch.stack((xv, yv), 2).expand((1, self.na, ny, nx, 2)).float()
anchor_grid = (self.anchors[i].clone() * self.stride[i]) \
.view((1, self.na, 1, 1, 2)).expand((1, self.na, ny, nx, 2)).float()
return grid, anchor_grid

这里的_make_grid()函数是准备好格点。所有的预测的单位长度都是基于grid层面的而不是原图。注意每一层的grid的尺寸都是不一样的,和每一层输出的尺寸w,h是一样的。

1
2
3
4
5
6
7
8
9
y = x[i].sigmoid()
if self.inplace:
y[..., 0:2] = (y[..., 0:2] * 2 - 0.5 + self.grid[i]) * self.stride[i] # xy
y[..., 2:4] = (y[..., 2:4] * 2) ** 2 * self.anchor_grid[i] # wh
else: # for YOLOv5 on AWS Inferentia https://github.com/ultralytics/yolov5/pull/2953
xy = (y[..., 0:2] * 2 - 0.5 + self.grid[i]) * self.stride[i] # xy
wh = (y[..., 2:4] * 2) ** 2 * self.anchor_grid[i] # wh
y = torch.cat((xy, wh, y[..., 4:]), -1)
z.append(y.view(bs, -1, self.no))

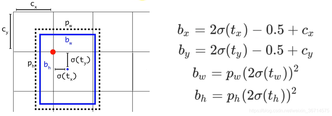
这里是inference的核心代码,对应的是yolov5的bbox回归机制。yolov5的回归机制如下图所示:

相较于yolov3的回归机制,可以明显的发现box center的x,y的预测被乘以2并减去了0.5,所以这里的值域从yolov3里的(0,1)注意是开区间,变成了(-0.5, 1.5)。从表面理解是yolov5可以跨半个格点预测了,这样可以提高对格点周围的bbox的召回。当然还有一个好处就是也解决了yolov3中因为sigmoid开区间而导致中心无法到达边界处的问题。

同样,在w,h的回归上,yolov5也有了新的变化,同样对比yolov3的源代码:

1
2
3
4
5
6
x = torch.sigmoid(prediction[..., 0])  # Center x  #B A H W
y = torch.sigmoid(prediction[..., 1]) # Center y #B A H W
w = prediction[..., 2] # Width #B A H W
h = prediction[..., 3] # Height #B A H W
pred_conf = torch.sigmoid(prediction[..., 4]) # Conf
pred_cls = torch.sigmoid(prediction[..., 5:]) # Cls pred.

很明显yolov3对于w,h没有做sigmoid,而在yolov5中对于x,y,w,h都做了sigmoid。其次yolov5的预测缩放比例变成了:(2*w_pred/h_pred) ^2。
值域从基于anchor宽高的(0,+∞)变成了(0,4)。这可能目的在于使预测的框范围更精准,通过sigmoid约束,让回归的框比例尺寸更为合理。

class Model()代码分析

接下来分析Model类里面的函数。主要分析它的前向传播过程,这里有两个函数:forward()和forward_once()。

forward()函数

1
2
3
4
5
6
7
8
9
10
11
12
13
14
15
16
17
18
def forward(self, x, augment=False, profile=False, visualize=False):
if augment:
return self._forward_augment(x) # augmented inference, None
return self._forward_once(x, profile, visualize) # single-scale inference, train

def _forward_augment(self, x):
img_size = x.shape[-2:] # height, width
s = [1, 0.83, 0.67] # scales
f = [None, 3, None] # flips (2-ud, 3-lr)
y = [] # outputs
for si, fi in zip(s, f):
xi = scale_img(x.flip(fi) if fi else x, si, gs=int(self.stride.max()))
yi = self._forward_once(xi)[0] # forward
# cv2.imwrite(f'img_{si}.jpg', 255 * xi[0].cpu().numpy().transpose((1, 2, 0))[:, :, ::-1]) # save
yi = self._descale_pred(yi, fi, si, img_size)
y.append(yi)
y = self._clip_augmented(y) # clip augmented tails
return torch.cat(y, 1), None # augmented inference, train

self.forward()函数里面augment可以理解为控制TTA,如果打开会对图片进行scaleflip。默认是关闭的。

scale_img的源码如下:

scale_img()函数

1
2
3
4
5
6
7
8
9
10
11
def scale_img(img, ratio=1.0, same_shape=False, gs=32):  # img(16,3,256,416)
# Scales img(bs,3,y,x) by ratio constrained to gs-multiple
if ratio == 1.0:
return img
else:
h, w = img.shape[2:]
s = (int(h * ratio), int(w * ratio)) # new size
img = F.interpolate(img, size=s, mode='bilinear', align_corners=False) # resize
if not same_shape: # pad/crop img
h, w = (math.ceil(x * ratio / gs) * gs for x in (h, w))
return F.pad(img, [0, w - s[1], 0, h - s[0]], value=0.447) # value = imagenet mean

通过普通的双线性插值实现,根据ratio来控制图片的缩放比例,最后通过pad 0补齐到原图的尺寸。

forward_once()函数

1
2
3
4
5
6
7
8
9
10
11
12
def _forward_once(self, x, profile=False, visualize=False):
y, dt = [], [] # outputs
for m in self.model:
if m.f != -1: # if not from previous layer
x = y[m.f] if isinstance(m.f, int) else [x if j == -1 else y[j] for j in m.f] # from earlier layers
if profile:
self._profile_one_layer(m, x, dt)
x = m(x) # run
y.append(x if m.i in self.save else None) # save output
if visualize:
feature_visualization(x, m.type, m.i, save_dir=visualize)
return x

self.foward_once()就是前向执行一次model里的所有module,得到结果。profile参数打开会记录每个模块的平均执行时长和flops用于分析模型的瓶颈,提高模型的执行速度和降低显存占用。

本文分析了yolov5head部分的前向传播和inference的源码。

参考资料:

  1. yolov5深度剖析+源码debug级讲解系列(三)yolov5 head源码解析

  2. YOLO全系列更新,YOLO的进化历程